A Friend Remembers The Remarkable Life of Nolan Ryan Williams, M.D.
The most important voice in psychiatry: SAINT, Ibogaine, and hope when we need it most.
When people talk about how important mental health is, what they really mean is that they wish people would stop dying by suicide. Sometimes, they also mean that death by overdose should stop. What they leave unsaid is more important: I loved someone, and lost them, and can’t bear the thought of that happening again. But, of course, it does happen again.
The coroner reported the death of Nolan Ryan Williams between October 8th and 9th, 2025. His lab was notified that suicide was the cause of death on the morning of the 10th.
The official statement from his family, and any subsequent statements, will be found here.
This is a eulogy, if unofficial.1
Many of Nolan’s close friends are devout Christians, and I will begin with the following for both its poignancy and with them in mind:
“Christians are not … to delude people as to their capacity to master death. Christian care precludes giving them over to their own resources, in the fantasy that those resources may be adequate. Rather, Christian care for the dying will seek to sustain them as they suffer the ravages of living and dying. We must care for them as long and as well as we can, identifying their hurts and healing them if we are able, surrounding and enfolding them with reminders of the care that God bears toward them.”
Some of us saw this truth clearly. Nolan Ryan Williams, M.D., was a hero to me.
He was also a friend.
I’m not writing this so soon because I wanted to—AI “forced” me into it. To give you a sense of the kind of visionary we are talking about, he was an “AI maxi” before it was cool. His technology—one of his many gifts to the world—was powered by AI algorithms, patented (provisionally) as far back as 2016!2
And his first obituary online, before anyone official had a chance to say anything thoughtful, was also, fittingly, generated by AI:
Nolan saw the power of artificial intelligence to be fast. Sometimes, we need Johnny On the Spot. We need robots that are faster than we could ever be. One of the things that brains do when they break—they lose the ability to see clearly that something is wrong. There's a downside to that automaticity, especially with the coming of artificial intelligence. AI can be faster than we can be, but it doesn't have to be thoughtful. No time grieving. On to the following automated obituary. There are technical rate-limiting steps, but crying in the streets on your way home isn't one of them.
It was for me.
I was hoping someone else would handle the thoughtful part. Of course, AI did it first. Nolan could have told me that. But it's not gonna be thoughtful—because it can't be.
This is the 999th post on this newsletter. But there wouldn't have been any of them if it weren't for Nolan. Nothing about my life, as it is now, would exist without the work that he did, and without the friendship, leadership, boldness, and unbelievably hard work he did.
Let me tell you about it. While you read the following section, understand that all of it happened, all of it, in 42 years on planet Earth. Nolan has family he cared deeply about. I got to know his brother and his wife. His kids are young. They're good, decent, brilliant people, too.
He did a neurology residency—that's one year of internal medicine, and three more years of neurology training. He then did a psychiatry residency—that's another medical residency, all over again, and normally that is another three years. He did both of these at MUSC, one of the most important institutions in America—OK, the world—when it comes to treating brain disorders. They cram 8 years of training into six. He also “tested out” of completing a fellowship in behavioral neurology and neuropsychiatry. That is six years of intensive training after four years of medical school, after four years of college. He was hungry to understand a problem. Neurosurgeons “only” do seven years, as a comparison.
Sit with that for a minute. There are those among us who make the decision, as young people, to spend their entire youth, time you don't get back, not having fun, not being influencers, but getting up painfully early every day to go into a hospital, or an outpatient clinic, while their debt for medical school is accumulating in the background, and instead of thinking about themselves, think about the rest of us.
For most doctors, that's three years. For most psychiatrists, it is four years. For some of us, it's a little bit longer; for me, it was six. Nolan spent his youth making sure he was well prepared to understand the problems his patients would face.
Residency isn't like other schools. Most of the time in school, you're sitting in a classroom learning things, but you're not doing them. You're doing what you're told, you're keeping your head down, you're trying to meet your milestones as your supervisor sees fit.
One thing that's true about residency is that some trainees are more brilliant than their supervisors, and sometimes that's obvious to everybody. I don't know if people knew how much of a shining star Nolan was, but I'm guessing they did. That hasn't been said, he still had to put up with it. He still chose to put up with it. He chose to put up with more of it than almost anyone else.
The problem he was trying to solve mattered. Suicidal depression had no effective intervention. He had noticed something along the way. Brain stimulation, like the TMS pioneered in psychiatry at MUSC by the wonderfully iconoclastic Dr. Mark George, was different in important ways from a similar treatment in neurosurgery and neurology: In Parkinson's disease, deep brain stimulation is a well-established treatment. It involves implantable electrodes, placed deep in the brain, that fire tens of thousands of pulses a day, all day, every day, and create powerful changes in movement disorders.
In psychiatry, Dr. Mark George changed our world, and the world of so many patients, including me, by realizing that a humble transcranial magnetic stimulation coil was capable of more than just “evaluating the motor cortex.” It could be a treatment.
Transcranial magnetic stimulation (TMS) is an external pacemaker for your feelings.

We already knew that modulating the brain works for depression, thanks to electroconvulsive therapy (ECT), which is still a mainstay of effective treatment. However, there are problems with ECT. You need to go under anesthesia, and the church of Scientology hunts down any doctor willing to do it, because they have a theological objection. There are other problems, too, such as memory loss and other side effects, but mostly, even if it were perfectly effective, it doesn't matter, because nobody can get it easily.
Dr. George is a careful scientist, and I'm awed to work with him to this day. Transcranial magnetic stimulation was demonstrated to be effective for depression in a careful, methodical way. They are good reasons to be methodical in science, and not all of them are about science. Some of them are about the attitudes of other doctors. Some of them address risks to patients. TMS was studied as a once-daily treatment, five days a week, for six weeks. That's a long time to have depression. Now, in fairness, the oral medications we use don't work very well, take even longer, and might not do much. For many people, they save lives, but not for everybody.

Nolan saw that something different was possible—thanks to his dual training in neurology and psychiatry, he was privy to the work in Parkinson's disease, the implant and electrodes firing tens of thousands of pulses every day, and he could do simple math comparing the 2000 pulses we did with TMS to the 50,000 we were doing with Parkinson's disease and know those numbers were different.
Why can't we do more for depression? Maybe faster? Is 24 hours the correct interval between treatments? Could we get it more precise? Could we offer more hope, more quickly?
The speed of offered hope matters. The dose of hope matters. The chance that you're going to get well? It matters profoundly. Those numbers? The response and remission rates? They matter. What would we need to change in our thinking to improve our patients' outcomes?
This is the thinking at which Nolan excelled, and which other people don't. Which isn't to say either kind of thinking is better or worse. That is to say, we need humans like Nolan to show us what's possible, because not everyone is good at imagining what might be possible. We're stuck arguing with insurance companies about medically unlikely edits, coverage, policies, and accepting the reality we are presented with.
I was set up on a brunch date with Nolan by our mutual friend and mentor, Dr. Manpreet Singh.3
Manpreet told me I had to meet Nolan. I had been cautiously experimenting, with my patients' consent, in New York, doing more than one TMS treatment a day when there was a compelling reason to do so, though it was not in line with the FDA label. I was seeing something remarkable. I was seeing people get well in days, not weeks.
She told me that Nolan was already all over this, had written a grant, and that we were gonna get along fabulously. I assume she told Nolan the same thing, and we got brunch at the Brain Stimulation conference in Vancouver, on what I suspect was February 23rd, 2019.
While I was busy noticing, Nolan was busy submitting grants for actual clinical research that could make it possible for the world to know what I had only noticed. Relief was possible quickly. In days, not weeks or months.
Doctors are a stick in the mud. I know it's frustrating. People want relief from their suffering quickly. They want a miracle cure. The thing is, physicians have been fooled before. Noticing—what I was doing—isn't good enough. The more extraordinary the claim, the more extraordinary the evidence needs to be.
Nolan realized something else—the pace of science matters. We can always wait around for endlessly incremental studies, which might be great science, but we might leave patients waiting many years before they finally get access to a treatment. Sometimes, you've gotta take a big swing.
Stanford Accelerated Intelligent Neuromodulation Treatment was a big swing. That abbreviated to SAINT—never say Nolan wasn't a brilliant branding guy, also, although I don't know who actually came up with it.
He was a great psychiatrist for other psychiatrists. He knew that we needed— Hope plus data. We needed to hope that our patients would get well, and the results of that study would need to be convincing. He needed to create the best single trials to demonstrate a Big Deal of an outcome; incremental wouldn't do. You can answer questions methodically in a series of incremental studies, and, of course, he did that too, but when it comes to making a splash, which the boringly named transcranial magnetic stimulation needed? We needed a study with an outcome that changed everything.
As a brief aside, if you're thinking, this is all this guy did, it's not. I'll get to that before the end. I have long argued that this innovation, which wasn't his alone — no science is — but if all he ever did in his entire life was SAINT, he should get a Nobel Prize in Medicine. But he has other discoveries. He was so generative that this is not the only thing he did with his time. Can you imagine?
He applied for a grant, including one from the NIH, and got it. In 2019, he published the following solo-authored paper:
Stanford Accelerated Intelligent Neuromodulation Therapy for Suicidal Ideation (SAINT-SI)
It begins:
There are no procedures currently approved for the treatment of suicidal thinking during an inpatient psychiatric hospitalization. Recent studies have demonstrated both the safety and possible increased efficacy of accelerated iTBS (aiTBS). …The study intends to evaluate the preliminary safety and efficacy of inpatient aiTBS targeting the L-DLPFC for the treatment of suicidal thinking.
“There are no procedures currently approved for the treatment of suicidal thinking…”
Unfortunately, that statement is still true. It was a splashy result, though, and people started citing his research more and more, and he wasn't done yet. I screenshot his citations from Scholar just this morning (October 11th, 2025), to give you a sense of the trajectory. Up, and to the right:
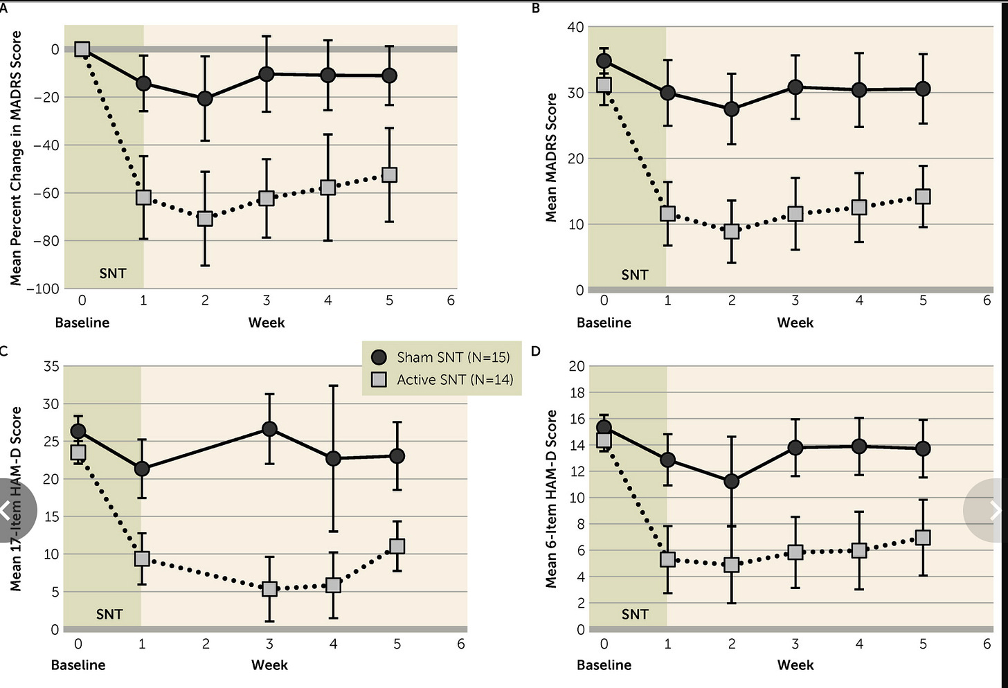
SAINT combined four innovations in one treatment, and in subsequent clinical trials, including a pivotal trial which Eleanor Cole first-authored4.
It combined fMRI guidance to pinpoint the precise spot in the brain to stimulate. It increases the dosage from 2000 to 18000 pulses a day, ten times a day, over five days. Remission happened, for most people, in that week. For others, it took a little longer. It worked 79% of the time.
It was more precise, faster, higher dosage, and in a different pattern than the traditional stimulation. He had to stand on the shoulders of Giants to get here, but he stood on his goddamn tippy toes. He wanted to get higher—and given how tall he was, that is saying something.
It worked. It worked remarkably well. I didn't have a grant or an academic appointment, and I didn't have his gravitas, but I did have him as a friend. Before that paper came out? In 2018, in open-label work at Stanford and in my clinic in New York, we were both speeding up TMS. We were doing it at the same inter-session interval, and I standardized my number of accelerated treatments to 10, cause that's what he was doing. I wanted to publish data that would support his results.
In medicine, it doesn't matter if it works as much as if you prove it works. No one was focused, like a goddamn laser, not only on having an innovation that worked, but on proving that it worked. And he did this, not for glory, but for justice.
He saw before anyone else that we needed an FDA label. We also needed to have a blockbuster study. We needed a big splash. Some of us are capable of doing that kind of work, of thinking through that kind of problem, of building a cohort of scientists who can be inspired to go on the same mission together.
Treating patients in a way you suspect is better is nice—if it works for that patient—but it doesn't get it paid for by Medicare, which other payors follow. It doesn't get paid for by commercial insurance. It doesn't make it available or accessible. And for Nolan, that's what mattered.
We couldn't leave people behind. We couldn't leave people without access to this treatment. We just couldn't. It wasn't right. We needed to advocate for our patients by creating treatments they could access. Advocacy, in medicine, is endless work—prove it, publish it, endure the endless criticism of people who think you could have done it slightly differently to prove this or that point of academic interest. But if it needs to happen, you do it.
Not everybody thinks this way. But when Nolan was doing his research and disseminating it, he was always thinking about how it could reach everybody. It drove him, kept him up at night; it was there in the morning also. People needed hope. He was an evangelical.
Crossing that bridge with lessons I’ve learned
Playing with fire and not getting burned
I may not know what you’re going through
But time is the space between me and you
Life carries on,
It goes on
—Seal, Prayer for the Dying.
People needed access to Hope. Hope needed to be real, not just theoretical.
Thus, he and his team ran a clinical trial:
Stanford Neuromodulation Therapy (SNT): A Double-Blind Randomized Controlled Trial
Then he did something that most academics never do: he started a company. This would not be the only company he started. Why? If you don't have a Study Sponsor (a company) to submit to the FDA, it won't get through regulatory review, and insurance will never pay. This requires money. If you don't have intellectual property protection—a way for investors to get their money back— it's never going to get to the world, so that needed to happen, too.
When you're as brilliant as Nolan was, it's painful — excruciating, really. There is a lot of talking to idiots. There are a lot of idiots.
Now, when I say there are a lot of idiots, dear readers, I mean all of us, at least compared to Dr. Williams. I mean you, me, and every investor I've ever met. And, again, this is not a knock on any of us, but when you see the future, as clearly as Nolan did, spending one’s time talking to ordinary people who don't get it? It is hard. It's exhausting; more people don't get it than those who get it. If it were obvious, they would have gotten it already.
If it were obvious, he wouldn't have to have those conversations.
And now, in a moment of the reality of writing about the death of someone you loved? I take a break for tears. The Kubler-Ross stages might be bullshit, but anger is real, as part of the process. It’s easier than sadness. It’s some Sith-dark-side shit, though. Don’t give in, people. A deep breath, and back to it.
Eulogies are about the human, not the work. The human in question pushed himself—hard— and pulled the rest of us along in his wake. Better, faster, was possible. It was possible with TMS. But what do we even mean by better? Well, he has patents on inventions that are wide ranging…let me prove it to you:
Systems and Methods for Increasing Hypnotizability
Systems and Methods for Entropy-Based Treatment
Compositions of Iboga Alkaloids and Methods of Treatment
Systems and methods for verifying iboga alkaloid treatment using temporospatial connectivity
Systems and Methods for Predicting and Treating Neurological Condition Relapses
That’s just a few. There are so many more.
The relentlessness of the output was matched only by the dedication to the why. It was about the patients suffering. He still saw patients while doing all that research, giving all those lectures, and being a father of two beautiful kids.
SAINT was a first act. He also demonstrated the ability of the wildly powerful ibogaine to heal trauma and brain injury. Here’s another earth-shattering discovery, and another company to bring it to the world. He spent time connecting with elected leaders across the spectrum to bring this Schedule I drug to the individuals suffering from opioid use disorder, PTSD, and brain injuries:
In an unprecedented move, Texas is poised to launch a public-private partnership to fund FDA-approvable drug development trials of ibogaine, backed by $50M in state matching funds, marking what proponents claim is the largest publicly funded psychedelic research effort in history.
I wrote about this treatment, along with Nolan’s one-time post-doc, Dr. Cherian5, and our mutual friend Burton Tabaac, M.D., shortly after their pivotal trial hit Nature Medicine in 2024:
Robust effects after a single treatment with ibogaine have been reported. In open-label and randomized controlled trials (RCTs), ibogaine reduces heroin and opioid cravings by upwards of 50%, up to 24 weeks after the treatment. An observational study of 30 Special Operations Forces veterans with mild traumatic brain injury reported that 86% were in remission from post-traumatic stress disorder, 83% from depression, and 83% from anxiety, one month after a single-dose ibogaine treatment.6
Read those numbers again. Let the possibilities sink in.
Nolan couldn’t unsee a truth—suffering could end, for the most afflicted. He spent his precious energy convincing others it was worth their time, money, and passion, too. I was one, so convinced.
Nolan was nothing if not convincing. The task has now passed to others.
The impossible challenge of writing this is, I hope, obvious. The guy who invented the treatment for suicide and despair died by suicide. Can you write a eulogy that acknowledges that fact, but does not make it about the way he died?
I don't know if I can do that, but I'm going to try.
Plenty of people die before their time. I have a patient, had a patient. I had a patient who died, abruptly, in a moment, recently. She was a study subject in the SAINT open-label dose-optimization trial. The treatment didn't work for her, actually. It doesn't work for everybody. 79% remission is not 100% remission. But she didn't die by suicide. Quite the opposite, in fact. Subsequent treatment, in her case, including both electroconvulsive therapy at Nolan’s first medical home, MUSC, and subsequent immunotherapy with intravenous immunoglobulins for her underlying autoimmune disorder, got her well. She was completely, utterly, and totally well for the first time in her life. And she fell into a river. She tripped, probably, at her favorite place on earth, her favorite river, and it swept her away in a moment, and she died on what might've been the happiest day of her life.
Her death was abrupt, tragic, and not about suicide. At the end of her life, she died happy. We don't get to choose where the story ends; that's up to fate, or God, as you understand the universe. We do get to look at the story people write with their lives. Who gets to choose what meaning any such story has? It is the reader, not the writer.
Nolan had a message for me, and perhaps, all of us. Suffering can end, without suicide. It’s not a promise that it will always be so—he was too much of an empiricist for that. He understood that suicide can come for anybody, and that everybody deserves the most effective treatment on earth. That treatment needs to be wildly effective, it needs to be broadly accessible, it needs to be here, now, when people need it, and maybe even before they know they need it. He researched that, too.
The monster that gets you in the end, whether it's a cruel twist of fate, a swirling river, or the cruelty of our own minds? That's a last sentence—but it's not the book.
I will miss him, with plenty of company. He was remarkably tall, often funny, thoughtful, driven, obstinate, grandiose, all the things. Of course, he was. How could you fit that much everything into one person? You'd have to make them very tall, at the least. You know, to get it all in there.
Nolan's favorite author was Philip K Dick.
Dick, as an author, was profoundly psychotic at times— and wrote many of our best science fiction stories, like “Blade Runner” based on “Do Androids Dream of Electric Sheep?” Upon watching Blade Runner, he sent the following message to the show runners:
Like his favorite author, Nolan wasn't just a psychiatrist, a scientist, or a business person; he was our futurist. Let me paraphrase Mr. Dick, as it relates to Dr. Nolan R. Williams:
Psychiatry had slowly settled into a monotonous death: it has become inbred, derivative, stale. Suddenly, Nolan came in, and with him some of the greatest talents currently in existence. Now we have a new life, a new start. As for Nolan's role in the future of care for human suffering, I can only say that his work and ideas will evolve into a stunning set of treatments. His life and creative work are entirely justified by any one of his creations, much less the whole lot. The future Nolan saw will be one hell of a commercial success; it will prove invincible and become the standard of care for people suffering in the future.
In both life and in death, we all deserve better than to suffer. It's a lesson both poignant and no less true by the breathtaking cruelty of the surprise ending.
If you’re thinking about suicide and need help in the US, call 988. Talk to someone in your life if you can’t pick up the phone to call the crisis line. But don’t kill yourself.
That’s the only thing that matters; you can get better, I promise. It’s worth a shot to feel better again. So many of us are ready to help.
The “E” at the beginning of the word Eulogy is pronounced “Y,” and thus, pedantically, it’s “a Eulogy,” not “an Eulogy” as would otherwise be the case.
I’ll wax poetic about Manpreet another time, but God, she’s just the best. When I went to visit her at Stanford, where Nolan also worked, we spent time together at the chapel, not because either of us was busy praying to God, but because the work we’re doing is holy.
Cole, E.J., Stimpson, K.H., Bentzley, B.S., Gulser, M., Cherian, K., Tischler, C., Nejad, R., Pankow, H., Choi, E., Aaron, H. and Espil, F.M., 2020. Stanford accelerated intelligent neuromodulation therapy for treatment-resistant depression. American Journal of Psychiatry, 177(8), pp.716-726.
Cherian, K.N., Keynan, J.N., Anker, L. et al. Magnesium–ibogaine therapy in veterans with traumatic brain injuries. Nat Med30, 373–381 (2024). https://doi.org/10.1038/s41591-023-02705-w
Cherian, K., Shinozuka, K., Tabaac, B.J., Arenas, A., Beutler, B.D., Evans, V.D., Fasano, C. and Muir, O.S., 2024. Psychedelic Therapy: A Primer for Primary Care Clinicians—Ibogaine. American Journal of Therapeutics, 31(2), pp.e133-e140.









A beautifully written legacy for such a remarkable man who has already had such a huge impact on my thinking and my family. But I remain devastated that such a piece needed to be written. Sending prayers for peace your way, and to all who knew him in real life.
A fine send-off for Dr. Williams. I am sorry that my session yesterday, which you tried to cancel, interrupted its production. I would have left, but you generously gave me your time anyway when I showed up. You should know how valuable and consoling that time was to me. Thank you. I am in awe that you could do it. And may you and the Doctor's friends and family find such consolation for yourselves, and together.